Info KUR BRI
Info Pinjaman KUR BRI di Solo, Simak Tabel Angsuran KUR BRI 2025 di Sini
KUR BRI adalah Kredit Usaha Rakyat (KUR) yang disalurkan oleh Bank Rakyat Indonesia (BRI).
|
Penulis: Tribun Network | Editor: Rifatun Nadhiroh
Google Maps BRI Solo
KANTOR BRI SOLO - BRI KC Solo Slamet Riyadi Jalan Slamet Riyadi No.236, Sriwedari, Kec. Laweyan, Kota Surakarta, Jawa Tengah.
TRIBUNSOLO.COM - Warga Solo ingin mengajukan pinjaman KUR BRI?
KUR BRI adalah Kredit Usaha Rakyat (KUR) yang disalurkan oleh Bank Rakyat Indonesia (BRI).
Ini adalah program pembiayaan pemerintah yang bertujuan untuk memberikan akses kredit dengan bunga rendah kepada Usaha Mikro, Kecil, dan Menengah (UMKM) yang memenuhi kriteria tertentu.
Berikut tabel pinjaman KUR BRI 2025 :
1. Tabel angsuran KUR BRI 2025 Rp 10 Juta hingga Rp 100 Juta
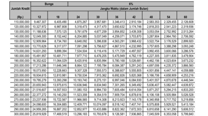
2. Tabel angsuran KUR BRI 2025 Rp 110 Juta hingga Rp 300 juta
3. Tabel angsuran KUR BRI 2025 Rp 310 Juta hingga Rp 500 Juta
Syarat Pencairan Pinjaman KUR BRI 2025
- Kartu Keluarga (KK)
- Kartu Tanda Penduduk (KTP)
- Sudah berusia minimal 17 tahun atau 21 tahun (KUR Mikro)
- Akta nikah (bagi yang sudah menikah)
- Nomor Pokok Wajib Pajak (NPWP) untuk pinjaman lebih dari Rp50 juta
- Nomor Induk Berusaha (NIB) atau Surat Keterangan Usaha dari kelurahan/RT/RW
- Tidak sedang menerima kredit dari bank lain, kecuali kredit konsumtif seperti KPR, KKB, atau kartu kredit
Memiliki usaha yang sudah berjalan minimal 6 bulan.
(*)
Berita Terkait: #Info KUR BRI
| Gegara Lupa Padamkan Tungku Setelah Masak Air, Rumah Warga Ngadirojo Wonogiri Dilalap Api |
|
|---|
| Hanya 5 Menit, Hujan Disertai Angin Kencang di Somokaton Klaten Bikin Atap Warung Porak-poranda |
|
|---|
| Masih Misteri, Kasus Kematian Tak Wajar Pria Girimarto Wonogiri Belum Terkuak, Autopsi Jadi Penentu |
|
|---|
| Tahu Susu Khas Boyolali: Olahan Unik dari Susu Pertama Sapi yang Kaya Gizi, Bisa Jadi Oleh-oleh |
|
|---|
| Kronologi Terungkapnya Aksi Mesum Remaja di Outlet Dimsum Solo, Berawal dari Kecurigaan Karyawan |
|
|---|
:quality(30):format(webp):focal(0.5x0.5:0.5x0.5)/solo/foto/bank/originals/BRI-KC-Solo-Slamet-Riyadi.jpg)